Хидроксипропил бетадекс за фармацевтски степен за подобрување на растворливоста

Хидроксипропил бетадекс за фармацевтски степен за подобрување на растворливоста

Хидроксипропил бетадекс на фармацевтски степен за подобрување на растворливоста Висока моларна замена. Годишен излез од 500 тони хидроксипропил βetadex во прав CAS 128446-35-5.

Испрати барање

Опис на производот



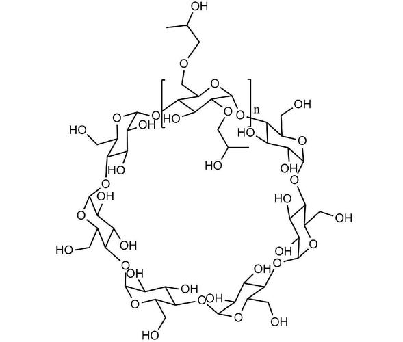
Хидроксипропил бетадекс (HPBCD) е високо прочистен дериват на циклодекстрин од фармацевтски одделение дизајниран за подобрување на растворливоста, стабилноста и биорасположивоста на слабо растворливи лекови. Неговата уникатна молекуларна структура му овозможува да формира комплекси за вклучување со активни состојки, оптимизирање на испорака и перформанси на лекови.



Хидроксипропил бетадекс за фармацевтски степен за подобрување на растворливоста


Кас
128446-35-5
Спецификација
500g/торба; 10 кг/торба, или како ваше барање
Физичка форма или изглед
Бел или скоро бел аморфен прав. Статистичката хидроксипропилација на бета-циклодекстрин создава мноштво молекули, што се разликува според позицијата на хидроксипропилните групи. Како резултат на тоа, производот не е во можност да се кристализира и останува во аморфна состојба.
Рок на траење
36 месеци
Опсег на моларна замена
0,8-0,95

Бетадекс

<ЛОД (0,01%)
Пропилен гликол
.52,5%
Секоја друга единствена нечистотија
Не е откриено

Вкупно нечистотии

со исклучок на бетадекс и пропилен гликол

Не е откриено
Ограничување на пропилеоксид
< LOD (0.000006%)
Вкупното броење на аеробни микроби         
<10cfu/g
Вкупните комбинирани калапи и квасец     
<10cfu/g   


Хидроксипропил бетадекс на инјектирање - Висока моларна замена Хидроксиалкилизиран дериват на Бетадекс. Хидроксипропил бетадекс може да ја подобри растворливоста и биорасположивоста на некои нерастворливи лекови. Затоа, може ефикасно да ја подобри биорасположивоста на лековите и да ја контролира брзината на ослободување и да ја подобри стабилноста. Хидроксипропил βeta cyclodextrin CAS 128446-35-5 хидроксипропил бетадекс


Типични апликации на Хидроксипропил бетадекс за фармацевтски степен за подобрување на растворливоста: 


Орални формулации (таблети, капсули, течности)

Инекции лекови

Капки за очи и спрејови на носот

Тематски креми и лосиони

Вкус маскирање за непријатни API



За нас


Xi'an Deli Biochemy Industry Co., Ltd. Е високо-технолошко претпријатие специјализирано за истражување и развој, производство и продажба на циклодекстрин и неговите деривати.

Од основањето на 27 август 1999 година, компанијата се придржува кон квалитетот на политиката на „фокусирање на додатоци, прво квалитетно, искрена услуга, стремејќи се за прва класа“. После повеќе од 20 години напорна работа и развој, компанијата во моментов има производи Дели бренд хидроксипропил бетадексинкција одделение хидроксипропил бетадекс - висока моларна замена, дели бренд Betadex Sulfobutyl Ether Ether. Горенаведените производи се регистрирани и поднесени до ФДА.

Компанијата се наоѓа во округот Линтонг, Ксиан, опфаќа површина од 17,8 MU, растителна површина од повеќе од 1.000 квадратни метри. Според барањата на процесот на производство, компанијата специјално постави чиста област на класа. Сега има годишен излез од 500 тони хидроксипропил βeta циклодекстрин во прав CAS 128446-35-5, 200 тони на BetaDex Sulfobutyl Ether Line Line. The testing center of the company is equipped with Thermo ICS-6000SP ion chromatography, Beckman P/ACE MDQ PLUS capillary electrophoresis, Waters 2695 high performance liquid chromatography, Agilent 6890 gas chromatography,FTIR-650(high configuration) infrared spectrometer, WZ2-2B automatic polarimeter, automatic moisture tester and other more than 20 Тестирање на опрема (комплети), може да ги задоволи потребите за тестирање на секоја производна врска на производите. Системот за управување со компанијата помина сертификација LSO 9001: 2015.





Жешки тагови: Хидроксипропил бетадекс на фармацевтски одделение за подобрување на растворливоста, производители, добавувачи, Кина, фабрика, рефус, бесплатен примерок, изработен во Кина, на залиха, големо, купете

Поврзана категорија

Испрати барање

Ве молиме слободно дајте го вашето барање во формата подолу. Ќе ви одговориме за 24 часа.
icon
X
Ние користиме колачиња за да ви понудиме подобро искуство во прелистувањето, да го анализираме сообраќајот на страницата и да ја персонализираме содржината. Со користење на оваа страница, вие се согласувате со нашата употреба на колачиња. Политика за приватност
Отфрли Прифати