Нашата фабрика е добро познат производител и снабдувач на Betadex Sulfobutyl Ether Sodium SBECD 182410-00-0 во Кина. Достапни се бесплатни примероци, а нашите производи се на залиха.
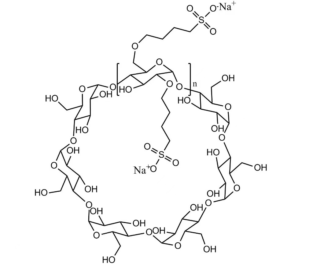
Име на производ: Бетадекс сулфобутил етер натриум
CAS бр.: 182410-00-0
Категорија: Фармацевтски ексципиент
Функција: Растворувач/Комплексирачко средство/Подобрувач на биорасположивост
Растворливост: Слободно растворлив во вода
Примена: формулации за инјектирање; Слабо растворливи API; Стабилизација на лекот и маскирање на мирис.
MOQ: 1 кг
OEM/ODM: Достапно
Што е бетадекс сулфобутил етер натриум?
Бетадекс сулфобутил етер натриум SBECD 182410-00-0 е дериват на циклодекстрин со висока чистота, растворлив во вода, специјално дизајниран за фармацевтски производи кои се инјектираат и парентерално. Овој ексципиент ја подобрува растворливоста, стабилноста и биорасположивоста на слабо растворливите активни фармацевтски состојки (API). Неговата уникатна молекуларна структура формира стабилни комплекси за вклучување, обезбедувајќи постојани терапевтски перформанси и сигурна испорака на лекови.
Погоден за интравенски, интрамускулни и субкутани формулации, SBECD го спречува врнежите, ја намалува хемиската деградација и ја одржува стабилноста на чувствителните API. Идеален е и за офталмолошки раствори, спрејови за нос и други течни формулации кои бараат подобрување на растворливоста и стабилност. Високата растворливост во вода, малата токсичност и биокомпатибилноста го прават префериран ексципиент за истражување, клинички развој и комерцијални производи за инјектирање.

Бетадекс сулфобутил етер натриум SBECD 182410-00-0 Спецификација
|
Име на производ |
Бетадекс сулфобутил етер натриум |
|
Друго име |
Сулфобутил етер β-циклодекстрин натриумова сол |
|
Спецификација |
USP/EP/JP/ChP |
|
Категорија |
Фармацевтски ексципиент |
|
Време на полица |
36 месецхс |
|
MOQ |
1 кг |
|
Време на испорака |
3-5 работни дена |
|
Пакет |
500 g / кесичка; 1 кг / кеса; 10 кг / барабан со влакна |
Бетадекс сулфобутил етер натриум SBECD 182410-00-0 COA
Xi'an Deli Biochemical Industry Co., Ltd. е основана во 1999 година и е професионален производител специјализиран за фармацевтски ексципиенси на циклодекстрин. Со повеќе од 25 години континуиран развој, изградивме солидна техничка експертиза и стабилен производствен систем фокусиран на висококвалитетни деривати на циклодекстрин.
Нашите основни производи вклучуваат хидроксипропил бетадекс (HPβCD) и бетадекс сулфобутил етер натриум (SBE-β-CD), кои се широко користени во фармацевтски, ветеринарни и хемиски формулации за растворливост, стабилизација, маскирање на мирис и подобрување на биорасположивоста на слабо растворливите активни состојки. Обезбедуваме постојана чистота од серија до серија, сигурни перформанси и техничка поддршка за глобалните фармацевтски, ветеринарни и козметички пазари. Детални технички податоци, сертификати за анализа (COA) и евалуација на примерокот се достапни за да се олесни развојот на формулацијата и да се оптимизираат перформансите на производот.
• Над 25 години искуство во производство на деривати на циклодекстрин
• Стабилен производствен капацитет со големини на серии од 2–3 метрички тони
• Годишно производство до 200 метрички тони, што обезбедува сигурно снабдување
• Фокусирани производи: хидроксипропил бетадекс и бетадекс сулфобутил етер натриум
• Усогласен со USP / EP / JP / ChP, погоден за глобалните фармацевтски пазари
• Конзистентен квалитет со строга контрола од серија до серија
• Флексибилно снабдување, MOQ од 1 kg, поддршка за истражување и развој до комерцијално производство
Посветени сме на обезбедување стабилен квалитет, доверливо снабдување и професионална поддршка за нашите глобални партнери.
R&D и техничка сила
Xi'an Deli Biochemical Industry Co., Ltd. има внатрешен тим за истражување и развој и целосен производствен систем, кој работи според модел на самопроизводство и директна продажба. Нашиот тим се фокусира на помошни иновации и поддршка за формулација за да одговори на различните потреби на клиентите.
Целиот производствен персонал добива обука за GMP, а нашата лабораторија е опремена со напредни инструменти како што се HPLC, GC, HPCE, IR, полариметар, pH метар, мерач на спроводливост и анализатор на влага, што обезбедува сигурно тестирање и постојан квалитет на производот.
Одделот за квалитет тесно соработува со материјали и производство за да ги ревидира добавувачите, да ги задржи примероците и да спроведе студии за стабилност, одржувајќи висококвалитетни ексципиенти од истражување и развој до пуштање на пазарот.
Подолу можете да видите слики од нашиот тим на меѓународни изложби и нашите документи за сертификација, истакнувајќи ја нашата техничка сила и препознатливоста во индустријата.
Најчесто поставувани прашања - Бетадекс сулфобутил етер натриум (SBECD)
П1: За што се користи SBECD?
SBECD е фармацевтски ексципиент базиран на циклодекстрин кој се користи за подобрување на растворливоста и стабилноста на слабо растворливите API, особено за формулации за инјектирање.
П2: Кои стандарди ги исполнува вашиот SBECD?
Нашиот SBECD е во согласност со USP/EP/JP/ChP фармакопеалните стандарди.
П3: Дали сте производител или трговец?
Ние сме директен производител на Бетадекс сулфобутил етер натриум, обезбедувајќи стабилен квалитет, конкурентни цени и сигурно снабдување.
П4: Можете ли да дадете примероци и технички документи?
Да. Примероците, COA, MSDS и техничките податоци се достапни на барање.
П5: Кој е вашиот производствен капацитет и способност за снабдување?
Ние поддржуваме снабдување во комерцијален обем, со големина на серија од приближно 2,5 тони и годишен производствен капацитет од околу 200 тони, обезбедувајќи долгорочна стабилност на снабдувањето.
👉 Контактирајте не сега за примероци, спецификации или поддршка за цени.
Сулфобутил етер бета циклодекстрин во прав за инјектирање фармацевтски ексципиент
Бетадекс сулфобутил етер натриум CAS NO 182410-00-0
Сулфобутил етер бета циклодекстрин натриум
Одделение за инјектирање на натриум бетадекс сулфобутил етер
Бетадекс сулфобутил етер натриум SBECD инекции одделение за формулации за лекови
Бетадекс сулфобутил етер натриум CAS 182410-00-0